Calculus 1 Proofs

These videos were created with the assistance of MathGTP

Power Rule for Derivatives

Sum of Derivatives

Difference of Derivatives

Derivative of a Constant Times a Function

Product Rule for Derivatives

Quotient Rule for Derivatives

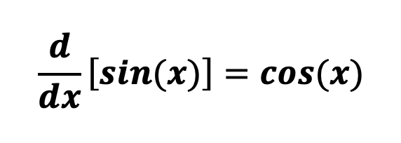
Derivative of Sine

Derivative of Cosine

Derivative of Tangent

Derivative of Secant

Derivative of Cosecant

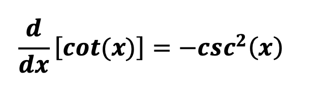
Derivative of Cotangent

Chain Rule for Derivatives

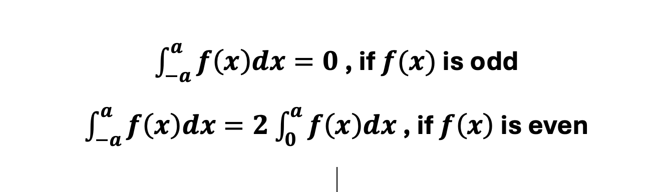
Proof of Definite Integrals for Even and Odd Functions

[-a,a]

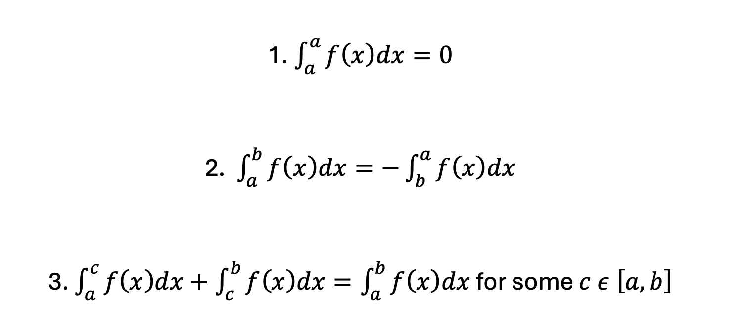
Properties of Definite Integrals

Area Between Two Curves Formulas

Volume of s Solid of Revolution by Disk Method

Volume of s Solid of Revolution by Washer Method

Volume of s Solid of Revolution by the Cylindrical Shell Method